
भोजपुर, ८ भदौ ।
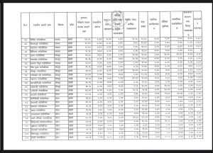
स्थानीय तह संस्थागत स्व–मुल्याङ्कन (लिजा) मा रामप्रसादराई गाउँपालिका जिल्लामा पहिलो बनेको छ । संघीय मामिला तथा सामान्य प्रशासन मन्त्रालयले स्थानीय तहहरुको गुणस्तर परिक्षण पश्चात सार्वजनिक गरेको संस्थागत क्षमता मुल्याङ्कन (लिजा)मा ८२ अंक ल्याएर पहिलो बनेको हो ।
मन्त्रालयको मुल्याङ्कनमा ७९ दशमलव ५० अङ्क ल्याएर अरुण गाउँपालिका दोश्रो र ७९ दशमलव २५ अङ्क ल्याएर पौवादुङमा गाउँपालिका तेस्रो बनेको छ ।
मन्त्रालयले गरेको मुल्याङकनको आधारमा रामप्रसादराई गाउँपालिका पहिलो बनेको गाउँपालिका अध्यक्ष थामबहादुर राईले जानकारी दिनुभयो । गत वर्ष पनि पहिलो बनेको गाउँपालिका यो वर्ष अझ राम्रो अंकका साथ पहिलो बनेको उहाँको भनाइ छ ।
स्थानीय तहको बार्षिक बजेट तथा योजना तर्जुमा व्यवस्थापन, वित्तीय तथा आर्थिक व्यवस्थापन, सेवा प्रवाह,न्यायिक कार्यसम्पादन, भौतिक पूर्वाधार, संगठन तथा प्रशासनलगायत दश वटा सूचकको आधारमा नजिता सार्वजनिक गरिएको हो ।
हेर्नुहोस् भोजपुर कुन स्थानीय तहले कति अंक प्राप्त गरे ।




















